Re: William Henry Cooley

From: Mary Lou Cooley <mlcooley_at_q.com>
Date: Fri, 10 Aug 2012 22:05:31 -0700

Thank you for this info.

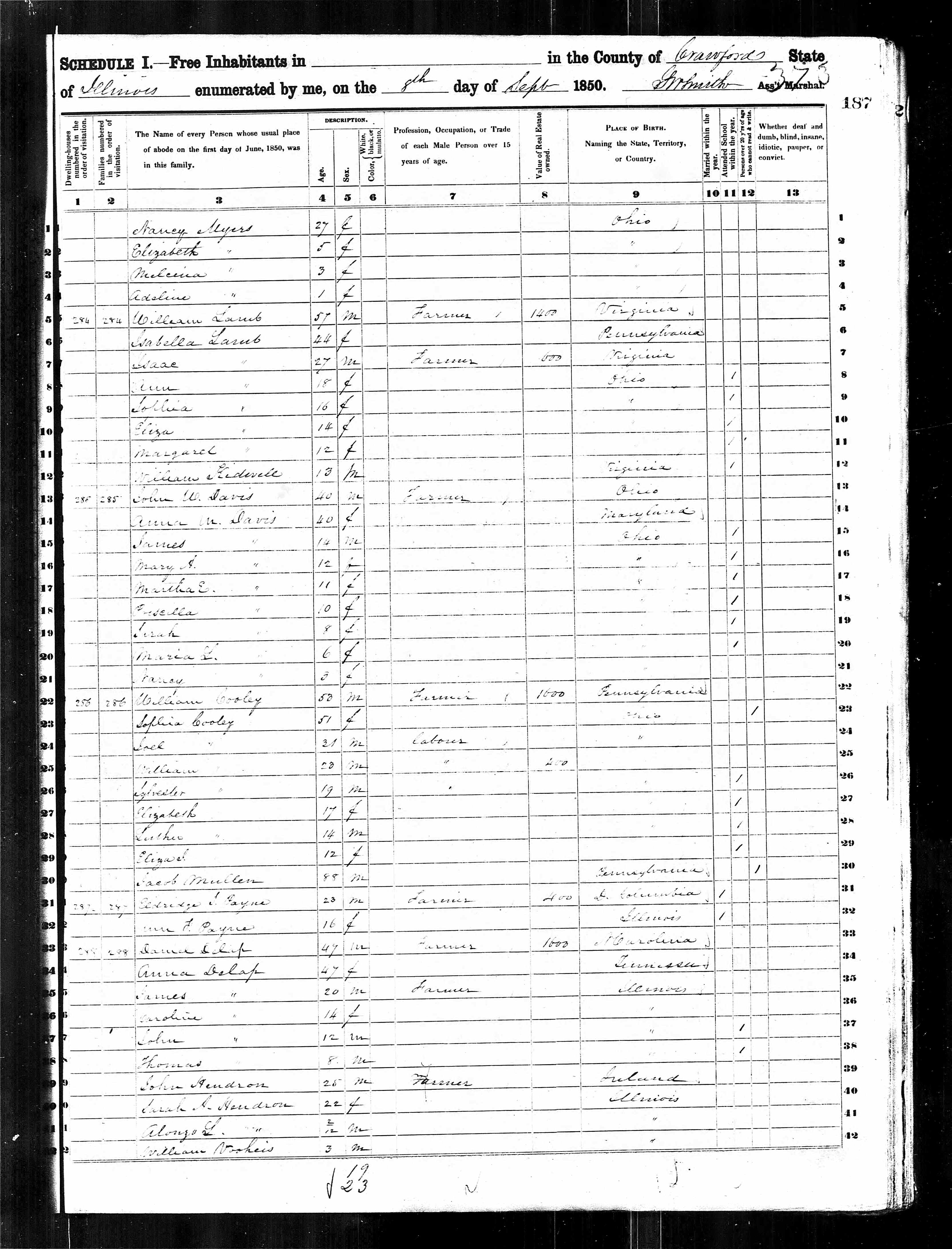
I found a way to save an image on Ancestry...here is the 1850 for William
Cooley family.

Mary C.

-----Original Message-----
From: Michael Cooley
Sent: Friday, August 10, 2012 9:49 PM
To: John Cooley Mailing List
Subject: William Henry Cooley

Some of you may have already found his findagrave.com page:

http://www.findagrave.com/cgi-bin/fg.cgi?page=gr&GRid=16143911

It has a larger version of the pic that Mary pointed out earlier.

I mistakenly said earlier that he died in Jersey county.

Other than the DNA clues, I have no idea how we're going to crack this
one. Too bad he didn't live just three more years--the old, ungrateful
geezer! :)

-Michael

--
<a href="http://newsummer.com/distlist">distlist 0.9</a>
See http://ancestraldata.com/listarchive/johncooleylist/ for list 
information. 

IL_1850__Crawford_Co.__William___Sophia_Cooley_family__pg_187.jpg
(image/jpeg attachment: IL_1850__Crawford_Co.__William___Sophia_Cooley_family__pg_187.jpg)

Received on Fri Aug 10 2012 - 23:05:57 MDT

This archive was generated by hypermail 2.3.0 : Fri Aug 10 2012 - 23:06:00 MDT